Plastic Barrier Laminate

What is EVOH?

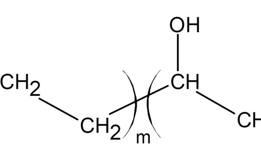
Ethylene Vinyl Alcohol, commonly abbreviated EVOH, is a formal copolymer of Ethylene & Vinyl Alcohol.

The production of EVOH contains of a two-step process of Polymerization and Saponification. First, ethylene and vinyl acetate are polymerized using an initiator/activator complex. Second, the ethylene-vinyl acetate copolymer (EVAC) is saponified to ethylene vinyl alcohol copolymer.